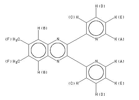
6,7-二甲基-2,3-二(2-吡啶基)喹喔啉(6627-38-9)质谱(MS)
InChI:InChI=1S/C20H16N4/c1-13-11-17-18(12-14(13)2)24-20(16-8-4-6-10-22-16)19(23-17)15-7-3-5-9-21-15/h3-12H,1-2H3
InChIKey: NACXMBPTPBZQHY-UHFFFAOYSA-N
Smiles:N1C2C(=CC(C)=C(C)C=2)N=C(C2=NC=CC=C2)C=1C1=NC=CC=C1
-

Mass
MS-NW-7203
6,7-dimethyl-2,3-di(2-pyridyl)quinoxaline
C20H16N4 (Mass of molecular ion: 312)
Source Temperature: 180 °C
Sample Temperature: 130 °C
Direct, 75 eV
18.0 1.9
27.0 2.6
28.0 1.0
39.0 3.8
50.0 1.5
51.0 6.6
52.0 2.8
53.0 2.0
54.0 1.1
63.0 2.8
64.0 2.0
65.0 1.2
75.0 1.1
76.0 1.8
77.0 6.8
78.0 16.6
79.0 1.5
89.0 1.8
102.0 2.1
103.0 8.2
104.0 2.5
105.0 1.2
128.0 1.2
134.5 1.1
135.0 1.4
135.5 1.0
141.0 1.2
141.5 1.1
142.0 2.6
142.5 2.5
148.0 4.9
148.5 4.0
154.0 1.1
155.0 4.0
155.5 2.3
156.0 7.0
156.5 1.5
180.0 1.3
192.0 2.3
193.0 1.8
207.0 1.8
283.0 1.1
284.0 3.6
285.0 1.3
296.0 1.3
309.0 1.8
310.0 4.6
311.0 100.0
312.0 56.5
313.0 10.5
314.0 1.1
90 MHz in CDCl3
400 MHz in CDCl3
-

| 1H NMR |
89.56 MHz |
| C20 H16 N4
|
0.042 g : 0.5 ml CDCl3
|
| 6,7-dimethyl-2,3-di(2-pyridyl)quinoxaline
|
 |
Assign. Shift(ppm)
A 8.357
B 7.97
C 7.93
D 7.79
E 7.205
F 2.512
J(A,C)=1.0HZ
J(A,D)=1.7HZ
J(A,E)=4.8HZ
J(B,F)=0.4HZ
J(C,E)=1.7HZ
|
Hz ppm Int.
752.44 8.402 100
751.31 8.389 131
750.81 8.384 124
749.69 8.371 119
747.63 8.348 118
746.56 8.336 143
745.88 8.329 134
744.88 8.318 125
713.81 7.971 325
713.06 7.962 338
707.88 7.904 199
706.81 7.893 226
706.19 7.886 215
705.19 7.874 193
704.00 7.861 187
702.31 7.842 164
696.94 7.782 185
695.19 7.763 166
689.06 7.694 80
687.31 7.675 72
651.56 7.276 139
649.75 7.255 128
646.63 7.221 121
644.94 7.202 137
644.44 7.196 118
642.69 7.177 97
639.50 7.141 93
637.88 7.123 88
225.25 2.516 1000
224.81 2.511 972
-

| 1H NMR |
399.65 MHz |
| C20 H16 N4
|
0.042 g : 0.5 ml CDCl3
|
| 6,7-dimethyl-2,3-di(2-pyridyl)quinoxaline
|
 |
Assign. Shift(ppm)
A 8.368
B 7.972
C 7.928
D 7.784
E 7.205
F 2.512
|
Hz ppm Int.
3348.75 8.380 112
3347.78 8.377 138
3347.05 8.375 142
3346.19 8.373 126
3343.87 8.367 124
3343.02 8.365 146
3342.29 8.364 144
3341.31 8.361 123
3186.16 7.973 319
3174.07 7.943 112
3173.10 7.940 176
3172.12 7.938 121
3166.14 7.923 147
3165.28 7.921 225
3164.31 7.918 151
3119.14 7.805 101
3117.43 7.801 103
3111.45 7.786 172
3109.74 7.782 171
3103.76 7.767 90
3102.05 7.762 86
2886.35 7.223 105
2885.25 7.220 109
2881.59 7.211 108
2880.37 7.208 118
2878.78 7.204 113
2877.69 7.201 106
2874.02 7.192 101
2872.80 7.189 100
1003.91 2.512 1000