Welcome to chemicalbook!
Chinese English Japanese Germany Korea
010-86108875
Try our best to find the right business for you.
Do not miss inquiry messages Please log in to view all inquiry messages.

Welcome back!

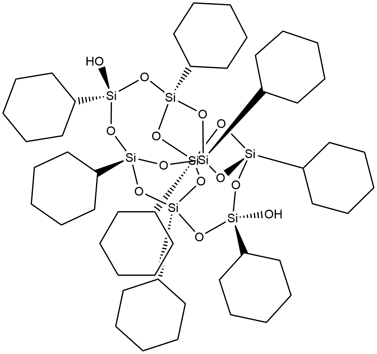
ChemicalBook CAS DataBase List 1,3,5,7,9,11,14-HEPTACYCLOHEXYLTRICYCLO[7.3.3.1(5,11)]HEPTASILOXANE-3,7,14-TRIOL
47904-22-3

1,3,5,7,9,11,14-HEPTACYCLOHEXYLTRICYCLO[7.3.3.1(5,11)]HEPTASILOXANE-3,7,14-TRIOL synthesis

2synthesis methods
-

Yield:47904-22-3 40%

Reaction Conditions:

with tetraethylammonium hydroxide in tetrahydrofuran;water at 25;Hydrolysis;Ring cleavage; Substitution;

References:

Feher, Frank J.;Terroba, Raquel;Ziller, Joseph W. [Chemical Communications,1999,# 21,p. 2153 - 2154]

1,3,5,7,9,11,14-HEPTACYCLOHEXYLTRICYCLO[7.3.3.1(5,11)]HEPTASILOXANE-3,7,14-TRIOL Related Search: