Welcome to chemicalbook!
Chinese English Japanese Germany Korea
010-86108875
Try our best to find the right business for you.
Do not miss inquiry messages Please log in to view all inquiry messages.

Welcome back!

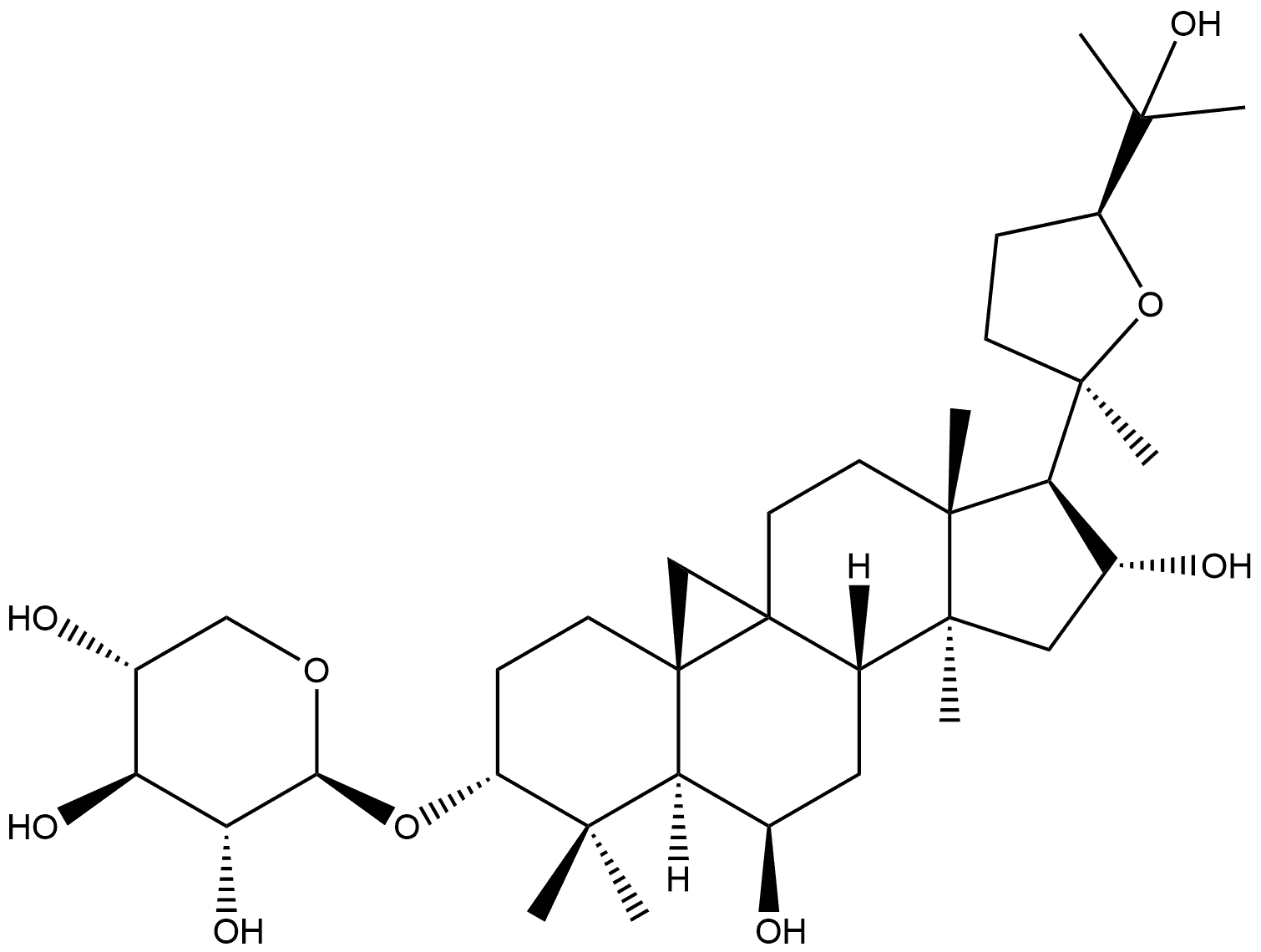
ChemicalBook CAS DataBase List Astragaloside III
84687-42-3

Astragaloside III synthesis

1synthesis methods
-

Yield:-

Reaction Conditions:

with glycosyltransferase AmGT8-T131V mutant in aq. phosphate buffer at 37; pH=8; for 8 h;Enzymatic reaction;regioselective reaction;

References:

Bao, Yang-Oujie;Gao, Bai-Han;Li, Fu-Dong;Qiao, Xue;Shi, Xiao-Meng;Su, Hui-Fei;Wang, Hai-Dong;Ye, Min;Yi, Yang;Zhang, Meng [Angewandte Chemie - International Edition,2022,vol. 61,# 8,art. no. E202113587][Angew. Chem.,2022,vol. 134,# 8] Location in patent:supporting information

Astragaloside III Related Search: