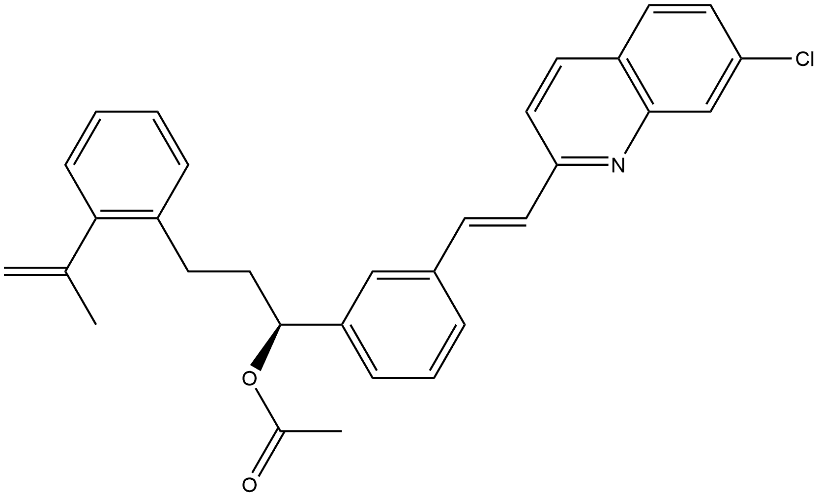
Montelukast Methyl Ether synthesis
- Product Name:Montelukast Methyl Ether
- CAS Number:1351973-25-5
- Molecular formula:C36H38ClNO3S
- Molecular Weight:600.21
918972-54-0
84 suppliers
$125.00/5mg
1351973-25-5
20 suppliers
inquiry
Yield:-
Steps:
Multi-step reaction with 5 steps
1.1: ethyl acetate / 25 - 30 °C
2.1: sulfuric acid; water / 5 - 10 °C
3.1: ethyl acetate / 25 - 30 °C
4.1: sodium hydride / N,N-dimethyl-formamide; mineral oil / 0.5 h / 0 - 5 °C
4.2: 2.5 h / 0 - 5 °C
5.1: water; sodium hydroxide / methanol / 5 h / 10 - 55 °C
References:
Sunil Kumar;Anjaneyulu;Hima Bindu [Asian Journal of Chemistry,2011,vol. 23,# 10,p. 4536 - 4546]
1197374-11-0
0 suppliers
inquiry
1351973-25-5
20 suppliers
inquiry
1197374-09-6
0 suppliers
inquiry
1351973-25-5
20 suppliers
inquiry
1197374-12-1
0 suppliers
inquiry
1351973-25-5
20 suppliers
inquiry
1197374-10-9
0 suppliers
inquiry
1351973-25-5
20 suppliers
inquiry