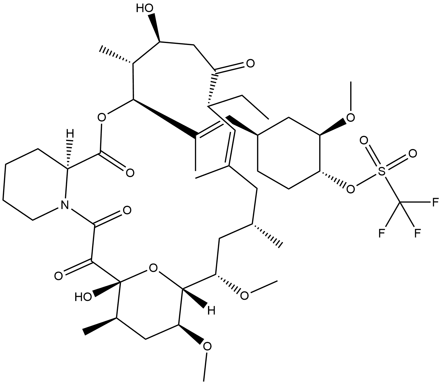
Pimecrolimus synthesis
- Product Name:Pimecrolimus
- CAS Number:137071-32-0
- Molecular formula:C43H68ClNO11
- Molecular Weight:810.45

148146-56-9
1 suppliers
inquiry
137071-32-0
389 suppliers
$15.00/1mg
Yield:-
Reaction Conditions:
with lithium chloride in dichloromethane at -15 - 21; for 96 h;Product distribution / selectivity;
Steps:
1
Example 1[00047] A 3.0 g sample of crude ascomycin was purified by passing it through a short silica column. The 3.0 g of syrup obtained was dissolved in 25 ml of anhydrous dichloromethane. The solution was cooled to -15°C with a slow stream of dried nitrogen gas bubbling through the solution.[00048] A 5 percent by weight solution of trifluoromethanesulfonic anhydride in anhydrous dichloromethane was added to the above solution in 6 ml parts, together with 0.3 g parts of 2,6-lutidine. After the addition of a total of 24 ml trifluoromethanesulfonic anhydride solution, 28 g of a 10 percent by weight lithium chloride solution was added to the reaction mixture, and the reaction mixture was allowed to warm to room temperature, i.e., about 210C. The reaction mixture was then stirred for 4 days.[00049] The reaction mixture was diluted with a mixture of 200 ml ethyl acetate and 25 ml of water, and poured into a separating funnel, and shaken. After extraction, 25 ml of a 10 percent by weight aqueous solution OfKHSO4 was added. Following additional shaking, the aqueous layer was removed, and the organic phase was washed three times with 25 ml of a 10 percent by weight aqueous ICHSO4 solution, twice with 25 ml of a saturated aqueous NaHCO3 solution, and twice with 25 ml of brine. The organic phase was dried over anhydrous MgSO4. After filtration, it was concentrated in vacuum, and, then, finally, under high vacuum to completely remove the solvent. The yield was 2.94 g of crude amorphous pimecrolimus.[00050] The product was purified by flash chromatography using n- hexane/acetone (2:1, VAO as an eluent. The yield was 2.54 g of amorphous pimecrolimus.
References:
WO2006/60614,2006,A1 Location in patent:Page/Page column 13
1178863-99-4
1 suppliers
inquiry
137071-32-0
389 suppliers
$15.00/1mg