Welcome to chemicalbook!
Chinese English Japanese Germany Korea
010-86108875
Try our best to find the right business for you.
Do not miss inquiry messages Please log in to view all inquiry messages.

Welcome back!

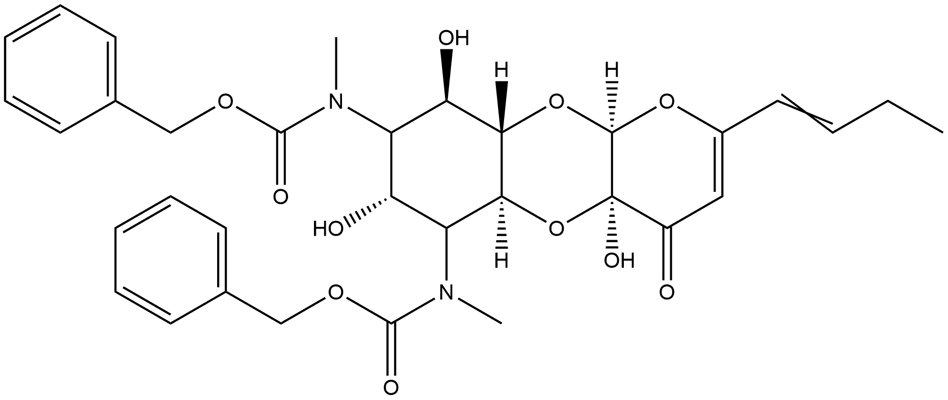
ChemicalBook CAS DataBase List Trospectomycin
88669-04-9

Trospectomycin synthesis

3synthesis methods
-

Yield:-

Steps:

Multi-step reaction with 7 steps
1: 77 percent / pyridine, dimethylaminopyridine / ethyl acetate / 10 h / 55 °C
2: 1,3-dibromo-5,5-dimethyl hydantoin / CCl4 / 0.33 h / Ambient temperature; Irradiation
3: dimethylformamide / 8 h / 55 °C
4: hexamethyldisilazane / 2.5 h / 55 °C
5: 0 - 25 °C
6: 48percent aqueous HF / acetonitrile / 5 h / 0 °C
7: 59 percent / H2, pyridine / Pd/BaSO4 / propan-2-ol / 2.3 h / 760 Torr

References:

White, David R.;Cain, Gary A. [Tetrahedron Letters,1989,vol. 30,# 12,p. 1469 - 1472]

Trospectomycin Related Search: