79794-75-5
中文名称
氯雷他定
英文名称
Loratadine
CAS
79794-75-5
分子式
C22H23ClN2O2
MDL 编号
MFCD00672869
分子量
382.88
MOL 文件
79794-75-5.mol
更新日期
2026/05/25 12:45:34
79794-75-5 结构式
基本信息
中文别名
4-(8-氯-5,6-二氢-11H-苯并[5,6]环庚基[1,2-b]并吡啶-11-烯)-1-哌啶羧酸乙脂氯雷他定
克敏能
氯雷他啶
4-(8-氯-5,6-二氢-11H-苯并[5,6]环庚基[1,2-b]并吡啶-11-烯)-1-哌啶羧酸乙酯
氯雷他汀
4-(8-氯-5,6-二氢-11H-苯并[5,6]环庚并[1,2-B]吡啶-11-亚基)-1-哌啶羧酸乙醋
英文别名
4(8-CHLORO-5,6-DIHYDRO-11H-BENZO[5,6]CYCLOHEPTA[1,2-B]PYRIDIN-11-YLIDENE)-1-PIPERIDINECARBOXYLATE4-(8-CHLORO-5,6-DIHYDRO-11H-BENZO[5,6]CYCLOHEPTA[1,2-B]PYRIDIN-11-YLIDENE)-1-PIPERIDINECARBOXYLIC ACID ETHYL ESTER
4-(8-chloro-5,6-dihydro-11h-benzo[5,6]cyclohepta[1,2-b]pyridin-11-ylidene-1-piperidinecarboxylic acid ethyl ester
4-(8-CHLORO-5,6-DIHYDRO-11H-BENZO[5,6]CYCLOHEPTAL[1,2-B]PYRIDIN-11-YLIDENE-1-PIPERIDINECARBOXYLIC ACID ETHYL ESTER
CLARATYNE
CLARITIN
ethyl 4-(8-chloro-5,6-dihydro-11h-benzo[5,6]cyclohepta[1,2-b]pyridin-11-ylidene)-1-piperidinecarboxylate
LORATADINE
LORATADINE-D5
LORATIDINE
SCH-29851
4-(8-chloro-5,6-dihydro-11H-benzo-[5,6]cyclohepta[1,2-b]pyridin-11-ylidene)-1-piperidinecarboxylic acid ethyl ester
DECARBOETHOXY LORATADINE MM(CRM STANDARD)
LORATADINE MM(CRM STANDARD)
LORATADINE USP(CRM STANDARD)
Loratadine(WithEdmf)
Loratadine99%Min
Loratadine&Int
1-Piperidinecarboxylic acid
Claritin, Sch-29851, 4-(8-Chloro-5,6-dihydro-11H-benzo[5,6]cyclohepta[1,2-b]pyridin-11-ylidene)-1-piperidinecarboxylic Acid, Ethyl Ester
所属类别
药物: 抗组胺药: 组胺H1受体拮抗剂物理化学性质
外观性状从乙腈结晶,熔点134-136℃。
熔点134-136°C
沸点531.3±50.0 °C(Predicted)
密度1.261±0.06 g/cm3(Predicted)
RTECS号TM6129200
储存条件2-8°C
储存条件2-8°C
溶解度DMSO: 26 mg/mL, soluble
溶解度DMSO:26 mg/mL,可溶
酸度系数(pKa)4.27±0.20(Predicted)
形态powder
颜色white
水溶解性It is soluble in DMSO (50 mg/ml), ethanol (77 mg/ml at 25°C), water (<1 mg/ml at 25°C), chloroform, and methanol.
Merck14,5578
BCS Class2
稳定性稳定,但可能对热敏感,冷藏。与强氧化剂不相容。
InChI1S/C22H23ClN2O2/c1-2-27-22(26)25-12-9-15(10-13-25)20-19-8-7-18(23)14-17(19)6-5-16-4-3-11-24-21(16)20/h3-4,7-8,11,14H,2,5-6,9-10,12-13H2,1H3
InChIKeyJCCNYMKQOSZNPW-UHFFFAOYSA-N
SMILESCCOC(=O)N1CC\C(CC1)=C2/c3ccc(Cl)cc3CCc4cccnc24
安全数据
警示词警告
危险性描述H319-H335-H315
危险品标志Xi
危险类别码36/37/38
安全说明22-24/25-36-26
安全说明S22-S24/25
危险品运输编号3077
WGK Germany2
WGK Germany2
REACH 注册登记Active
海关编码29333990
存储类别11 - Combustible Solids
制备方法
方法一
将化合物(I)(0.05mo1)溶于甲苯(450m1),滴加氯甲酸乙酯(0.15mo1)。加毕,在蒸汽浴上加热2h,然后室温搅拌过夜。加入800ml水。分出苯层,水洗,干燥。减压浓缩得油状物,用石油醚浸渍后,用乙腈重结晶,即得氯雷他定,收率64%。上下游产品信息
常见问题列表
抗过敏药
氯雷他定是一种常用的抗过敏药,属第二代长效三环类抗组胺药物,起效快,作用强,不含激素,人体吸收后代谢为活性更强的地氯雷他定,通过竞争性地抑制组胺H1受体,抑制组胺所引起的过敏症状,无明显的抗胆碱和中枢抑制作用。临床上用于缓解过敏性鼻炎有关的症状,如喷嚏、流涕和鼻痒以及眼部瘙痒和烧灼感。也用于缓解慢性荨麻疹及其他过敏性皮肤病的症状。毒理学:动物试验无致突变、无致畸形作用。
常见的不良反应包括头痛、嗜睡、疲乏、口干视觉模糊、血压降低或升高、心悸、晕厥、运动机能亢进、肝功能改变、黄疸、肝炎、肝坏死、脱发、癫痫发作、乳房肿大、多形性红斑及全身性过敏反应。
药物相互作用:抑制肝药物代谢酶功能的药物可使本品代谢减慢,如伊曲康唑、酮康唑,每日同服400mg酮康唑,可使本品及其活性代谢物去羧乙基氯雷他定的血浆浓度升高,但未观察到心电图改变。与大环内酯类抗生素、西咪替丁、茶碱等药物并用也可抑制氯雷他定的代谢。
合成方法
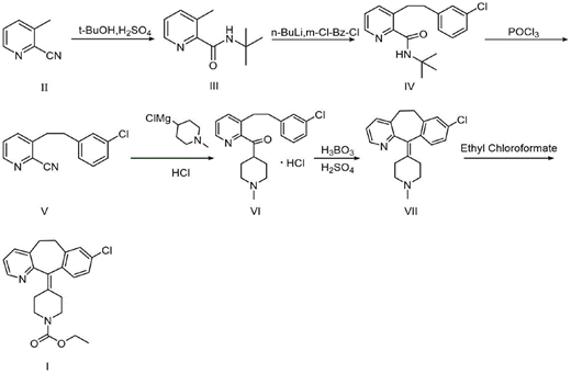
以2‑氰基‑3‑甲基吡啶为原料,经Ritter反应,间氯氯苄缩合,POCl3脱保护基,格式反应,环合,氯甲酸乙酯取代后得到4‑(8‑氯‑5,6‑二氢‑11H‑苯并[5,6]环庚烷并[1,2‑b]吡啶‑11‑亚基)‑1‑哌啶羧酸乙酯(氯雷他定)。[1]

[1] 曹胜华,姚忠全,宋明伟等. 一种氯雷他定的制备方法. Patent CN112341433A
生物活性
Loratadine (SCH29851) 是一种选择性的histamine H1 receptor拮抗剂,用于治疗过敏。同时还是一种选择性的B(0)AT2抑制剂,其IC50为 4 μM。靶点
| Target | Value |
| H1 receptor | |
| B(0)AT2 | 4 μM |
体外研究
Loratadine被确定为B(0)AT 2的选择性抑制剂,IC 50为4 μM,对SLC6家族的几个其它成员低活性或无活性。 在Der p 1和或抗Fc小量RI预培养的人Fc小量的RI+细胞,Loratadine浓度依赖性抑制组胺和白三烯C4的释放。在抗Fc小量RI激活的纯化HLMC中,Loratadine(0.1 mM)也抑制组胺,白三烯C4和PGD2的释放。在抗Fc小量RI刺激的纯化HSMC中,Loratadine浓度依赖性抑制组胺,类胰蛋白酶,LTC4和PGD 2的释放。 在人脐静脉内皮细胞,Loratadine显著抑制组胺诱导的IL-6和IL-8的分泌。 在转染了hKv1.5通道基因的人Ltk-细胞中,Loratadineh在浓度高于治疗性血浆水平时以浓度,电压,时间和使用依赖性的方式阻断Kv1.5通道。在主支气管或转化(A549)呼吸道上皮细胞中,Loratadineh抑制rhinovirus诱导的ICAM-1的上调。Loratadineh也以剂量依赖的方式抑制鼻病毒感染诱导的ICAM-1的mRNA,并且它们完全抑制鼻病毒诱导的ICAM-1启动子的活化。
