介绍
辛波莫德(英文名:Siponimod)是一种二代S1P受体调节剂,选择性作用于S1P1和S1P5受体,EC50分别为0.39nM和0.98nM,比作用于S1P2,S1P3和S1P4受体选择性高1000倍以上。研究表明辛波莫德可有效的延缓继发性多发性硬化症残疾程度进展。

图一 辛波莫德
合成
现有技术中,制备辛波莫德的方法已见报道,文献Briard E,Rudolph B,Desrayaud S,et al.MS565:A SPECT Tracer for Evaluating the Brain Penetration of BAF312(Siponimod)[J].ChemMedChem,2015,10(6):1008‑1018公开的一种制备Siponimod的合成路线:以3‑溴‑4‑甲基苯乙酮为起始原料,通过溴化、水解、偶联、氢化得到Part B;以2‑氯‑5‑溴甲基三氟甲苯为起始物料经缩合,偶联得到Part A;之后将Part A与Part B两个片段组装,再与Part C反应得到Siponimod。Part A的制备过程,涉及重氮化反应,容易喷料或爆炸,总共需要5次柱层析纯化,操作不方便,成本高昂,路线不适合工业化生产。

图二 辛波莫德的合成
WO2017120124A1公开的一种制备Siponimod的合成路线:其Part B的合成思路与上述路线一致,Part A是以2‑三氟甲基‑4‑溴苯甲酸为起始物料经偶联、氢化、还原、取代、缩合得到;之后将Part A与Part B两个片段组装,再与Part C反应得到Siponimod。该路线的关键片段组装思路与上述路线一致。

图三 辛波莫德的合成2
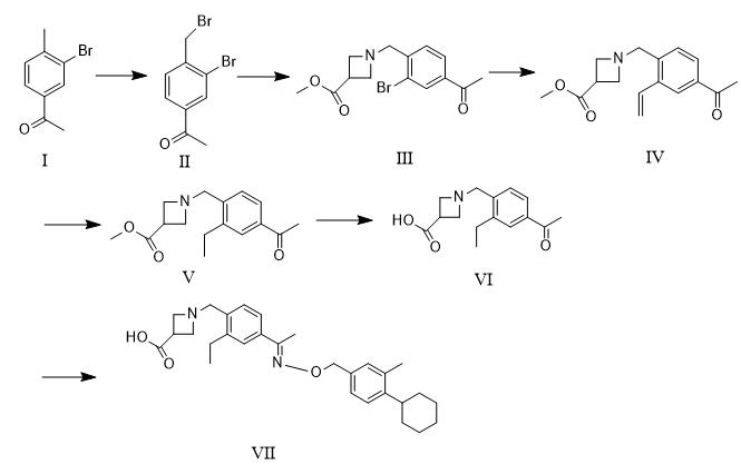
以3‑溴‑4‑甲基苯乙酮为起始物料,经过溴化、与氮杂环丁烷‑3‑甲酸甲酯或其盐、乙烯三氟硼酸盐反应、烯基还原、水解等步骤后得到辛波莫德(式VII所示化合物)[1]。
(1)室温下,反应瓶中加入式Ⅰ化合物2.0g、过氧化二苯甲酰114.2mg、N‑溴代琥珀酰亚胺3.0g和乙腈16ml,加入完毕后于升温至80℃,继续搅拌4小时后,停止反应,反应液先用10%甲酸钠溶液萃灭,随后于35℃下减压浓缩除去乙腈,再用二氯甲烷(50ml)萃取,有机相后于35℃下除去溶剂,浓缩得式Ⅱ化合物2.13g,收率78.0%。
(2)将式Ⅱ化合物6.0g、氮杂环丁烷‑3‑甲酸甲酯盐酸盐4.1g和二氯甲烷90ml加入完毕后,于25℃搅拌反应,随后加入三乙胺5.4g,继续搅拌4小时后停止反应,反应液于35℃下减压浓缩,最后得式Ⅲ化合物5.47g,收率81.6%。
(3)将式Ⅲ化合物4.0g加入、乙烯三氟硼酸钾2.16g、碳酸钠3.92g和180mg[1,1'‑双(二苯基膦基)二茂铁]二氯化钯,随后加入水4ml、乙醇4ml和甲苯44ml,氮气保护下升温至80℃下搅拌,反应16小时后停止反应,反应液于35℃下减压浓缩得式Ⅳ化合物2.67g,收率79.7%。
(4)将式Ⅳ化合物1.0g加入、钯/碳(5%)100mg和甲醇10ml,于氢气环境下升温至25℃反应4小时,停止反应,抽滤回收钯/碳,所得滤液于35℃下减压浓缩,最后得式Ⅴ化合物0.98g,收率98.0%。
(5)将式Ⅴ化合物0.5g、甲醇5ml,至25℃搅拌,随后向反应瓶中加入氢氧化钠(145.6mg)和水(4ml)的混合液,搅拌15小时后停止反应,反应液先在40℃下减压浓缩除去甲醇,随后向反应瓶中加入水10ml和乙酸乙酯10ml,分液后丢弃有机相,向水相中加入甲醇20ml,40℃下减压浓缩除,最后得式VI化合物N‑(4‑环己基‑3‑三氟甲基‑苄氧基)‑乙亚氨酸乙酯410mg,收率86.31%。
(6)室温下,反应瓶中加入N‑(4‑环己基‑3‑三氟甲基‑苄氧基)‑乙亚氨酸乙酯14.2g、70ml甲醇,于20℃搅拌,20分钟后加入7.2g浓盐酸(36%),继续搅拌40min后加入6.5g三乙胺,搅拌20min后加入10.0g式VI化合物,继续搅拌22小时后停止反应,反应液先在40℃下减压浓缩除去甲醇后得式Ⅶ化合物15.5g,收率79.5%。

图四 辛波莫德的合成3
参考文献
[1]刘诗雨,王仲清,寇景平等. 一种辛波莫德的制备方法[P]. 广东省:CN113382982B,2023-01-31.