4-磺酰水杨酸又称4-磺基邻苯二甲酸,白色至微黄色粉末状结晶,易溶于醇,微溶于乙醚和水,能升华。它分子结构中含有羧基和磺酸基,具有酸性,能与碱反应生成相应的盐,主要用于合成红色基RC等染料。

应用实例
1、专利CN201510140214.3介绍了一种4-磺酰水杨酸稀土金属配合物及其制备方法与应用。本发明所述配合物的化学通式为[Ln(H2O)2(SP)],其中Ln为正三价镧系稀土离子Dy(III)、Tb(III)以及Er(III),SP是4-磺酰水杨酸的负三价阴离子。配合物采用溶剂热方法制备,产率较高、重现性好、热稳定性高。在紫外光激发下,该类固态配合物能够发射出特征的红光、绿光或蓝光,可以作为光致发光材料在材料科学领域具有巨大的应用价值[1]。
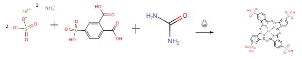
2、四磺基铁酞菁的合成:将约282.52g的50重量%的4-磺酰水杨酸、229.74g的尿素、50g的六水合硫酸铁(II)铵、2.76g的硼酸以及102mg的四水合钼酸铵装入到150x75mm的重结晶盘中。将该盘放置于被预热至180°C的马弗炉中。在2.5小时之后,炉温升高至220℃达5小时,然后再升高至240℃达1.5小时。然后使粗制的物质冷却至室温,然后使用研钵和研杵研磨成细的粉末。然后将所得到的粉末吸收到1L的被NaCl饱和的1M HCl中,简单地进行搅拌回流,然后使其冷却至室温。然后将所得到的浆液过滤并且在马弗炉中于100℃干燥过夜。然后使用研钵和研杵将固体研磨。然后将粉末吸收到1L的80%甲醇,并且进行搅拌回流。然后在仍然是沸腾灼热的时候,将浆液过滤,并且用少量的沸腾甲醇洗涤。然后重复甲醇洗涤。最终将所得到的固体在马弗炉中于110℃干燥过夜,以得到80%的收率[2]。

参考文献
[1]天津师范大学. 4-磺基邻苯二甲酸稀土金属配合物及其制备方法与应用:CN201510140214.3[P]. 2015-08-19.
[2]陶氏环球技术公司. 四磺基铁酞菁和相关方法:CN200780047616.2[P]. 2009-10-28.