磺胺类抗生素是我国养殖业主要使用的药物之一,常用于人体细菌感染的预防、动物疾病预防和治疗以及提高其生长速度。磺胺类药物是极性、两性药物,在酸性条件下,氨基氮会发生质子化作用。磺胺类药物分子量较小,亨利常数较小,易于在土壤中吸附及淋溶,因此,磺胺类药物很容易流入土壤及水体中,对土壤、地表水及地下水造成污染。在环境中扩散常用的磺胺类药物包括有:磺胺甲恶唑、磺胺嘧啶、磺胺氯哒嗪、磺胺甲基嘧啶和磺胺噻唑等。这类抗生素性质稳定,使用方便,因此被广泛应用于医疗及动物养殖。但是这类抗生素在人体及其它动物体内吸收代谢较慢,大部分药物的有效成分无法被完全吸收和利用,剩余药物就会随着排泄物被排出体外,对环境造成污染。因此,磺胺类抗生素在环境中的检出率非常高。
磺胺氯哒嗪作为磺胺类药物中的一种,为黄色粉末状固体,由磺胺基连接的苯胺及氯代杂环构成,易溶于盐溶液及碱性溶液。磺胺氯哒嗪是难降解药物,因此,选择一种安全、高效的去除水中磺胺氯哒嗪的方法尤为重要。高铁酸盐作为一种新兴绿色水处理药剂,具有较强的氧化性并不产生有毒副产物。因此,本文将将介绍使用自制高铁酸钾晶体对含有磺胺氯哒嗪的模拟水样进行降解的研究。

降解研究[1]
首先,对不同pH、不同投加比下高铁酸盐降解磺胺氯哒嗪的效率进行研究。得出在磺胺氯哒嗪的初始浓度为0.2mmol/L,高铁酸盐与磺胺氯哒嗪摩尔比为10:1,pH=5条件下高铁酸盐对磺胺氯哒嗪的去除率最高,可达95.6%,其中絮凝作用仅能去除约20%的磺胺氯哒嗪,因此高铁酸盐的氧化性对其去除起主导作用。TOC的去除率也遵循这个规律,pH=5条件下TOC的去除率达50.3%,并未完全矿化。但处理前后水样的BOD5/CODCr由0.053最大可增加到0.38 (高铁酸盐与磺胺氯哒嗪摩尔比为8:1,pH=5),达到生物处理标准,可进行后续常规生物处理。处理后水样的细胞毒性进行检验结果表明,反应后产物对细胞的生物毒性明显降低,减少了其对人体及其它生物的危害。经高铁酸钾处理后的水样检测不到Fe元素残留,不会引入新的污染物Fe元素。
使用初始速率法对高铁酸钾与磺胺氯哒嗪的反应进行了动力学研究,在25℃,pH=9的缓冲溶液中,高铁酸钾与磺胺氯哒嗪反应的动力学反应级数为2级反应,反应动力学常数为k=0.5933Lmol-1s-1。依此条件,在含磺胺氯哒嗪0.2mmol/L的水溶液中,投加摩尔比为10:1的高铁酸盐,去除率达95%时反应所需时间为1.25h。而在改进的处理工艺中,在模拟水样中投加高铁酸盐后,以90-360μmol/min的速度滴加稀硫酸,直至pH达到5,磺胺氯哒嗪去除率可在30min内达到95%以上。

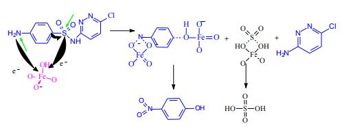
通过萃取富集后使用气相色谱-质谱仪对高铁酸盐降解后产物进行了定性测试, 并对磺胺氯哒嗪分子结构进行了静电势计算和分析。得出高铁酸盐首先进攻磺胺氯哒嗪分子上的富电基团,致使S-C 键、S-N键与N-C键断裂,氨基被氧化为硝基,生成中间产物对硝基苯酚(C6H5O3)、氨基氯代哒嗪(C4H4ClN3,ACP),和对磺胺基苯酰胺(C6H6N2O4S)。中间产物被氧化后苯环及氯哒嗪环开环,分解为醇类、羧酸类小分子物质。
综上可知,高铁酸盐对磺胺氯哒嗪有较好的去除效果,且不会引入二次污染。高铁酸钾的投加可去除磺胺氯哒嗪的抗生素性质,将此方法应用于实际水处理中,可降低抗生素在水中低剂量长期暴露引发的细菌耐药性。
参考文献
[1]祖可欣. 高铁酸盐降解水中磺胺氯哒嗪的研究[D]. 吉林:东北电力大学,2018.