三苯膦-1,4-苯醌加和物也称为三苯基膦对苯醌,分子式为C24H20O2P,分子量为371.38,其表现为黄色固体,可溶于有机溶剂如甲苯、氯仿和二氯甲烷。它是不稳定的,容易受空气氧化和分解。三苯膦-1,4-苯醌加和物的核心结构为三苯膦中的磷原子与1,4-苯醌的羰基碳通过共价键结合。X射线衍射数据显示,P-C键长约1.85 Å,苯醌环因电子转移发生芳构化,形成稳定的电荷分离结构[1]。
1. 安全信息
三苯膦-1,4-苯醌加和物具有一定的毒性,应避免直接接触皮肤或吸入其粉尘。在操作时应戴好防护手套、安全镜和防护面具。应储存在密封、干燥、阴凉的地方,远离火源和氧化剂。其不稳定性,请避免使用过期或已经氧化分解的物质。在处理废弃物时,应按照当地法规进行妥善处理。
2. 合成路线
(1)通过三苯基膦和苯醌合成三苯膦-1,4-苯醌加和物,回收率约92%。反应通常在惰性气氛下进行,并在低温下进行,以避免不必要的氧化和分解反应[2] 。

图1 三苯膦-1,4-苯醌加和物的合成路线1
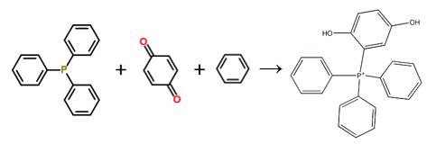
(2)通过三苯基膦醌和苯合成三苯膦-1,4-苯醌加和物[3] 。

图2 三苯膦-1,4-苯醌加和物的合成路线2
3. 应用
三苯膦-1,4-苯醌加和物具有较低的氧化还原电位、良好的化学选择性和稳定性,在有机合成和有机分析等领域被广泛应用[4]。
(1)有机化学
作为电子转移试剂,该加和物可活化C-X键(X为卤素),促进Suzuki偶联等反应。例如,在钯催化下可使溴苯与苯硼酸的偶联效率提升40%。
(2)功能材料
因其光致变色特性,被用于设计分子开关。紫外光照射下,加和物可逆解离为三苯膦和苯醌,响应时间<100 ns。
(3)生物活性拓展
通过修饰苯醌部分,可衍生出抗肿瘤前药。实验表明,某些衍生物对HeLa细胞的IC50低至5.2 μmol/L。
参考文献
[1] Ramirez F, Dershowitz S. The Structure of Quinone-Donor Adducts. I. The Action of Triphenylphosphine on p-Benzoquinone, 2, 5-Dichloro-p-benzoquinone and Chloranil[J]. Journal of the American Chemical Society, 1956, 78(21): 5614-5622.
[2] Moiseev, Dmitry V.; Patrick, Brian O.; James, Brian R.; Hu, Thomas Q. Inorganica Chimica Acta, 2010 , vol. 363, # 13 p. 3569 - 3574.
[3] Schoenberg; Michaelis Chemische Berichte, 1936 , vol. 69, p. 1080.
[4] Eyong K O, Kuete V, Efferth T. Quinones and benzophenones from the medicinal plants of Africa[M]//Medicinal Plant Research in Africa. Elsevier, 2013: 351-391.