美替诺龙,又名甲烯氢龙,化学名为17β-羟基-1-甲基-5α-雄甾-1-烯3-酮,是一种较强的蛋白同化激素,作为甾体激素类药物的一种原料药及中间体,主要用于蛋白同化药物生产,能促进蛋白质合成代谢,减少蛋白质分解低谢,促进氨基酸合成蛋白质的过程,抑制氨基酸分解成尿素的过程,并可促进肌肉发达,体质增强;也有促使钙、磷元素在骨组织中的沉积,促进骨细胞间质的形成,加速骨钙化,促进组织新生和肉芽形成,促使创伤和溃疡愈合以及降低血液胆固醇等生理作用,广泛应用于各种慢性消耗疾病治疗、创口愈合、体质增强保健等领域。随着人们生活水平的不断提高,健康长寿己成为人们追求的共同目标,为此,世界各国的甾体药物的研究和生产上都竭尽了全力,如美国、德国、英国、日本、法国、意大利、印度等国都是甾体激素药物的生产大国。因此,美替诺龙系列产品的开发生产具有广阔的市场前景和社会意义。

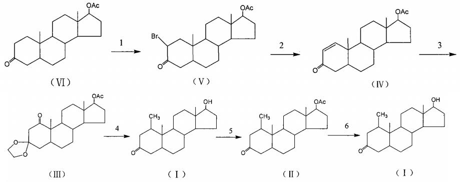
合成方法[1]
(1)溴化反应
将醋酸二氢睾酮30g溶解100mL氯仿中,加入28mL溴素,于-10℃下进行溴化反应,用水洗涤有机相,减压蒸馏回收氯仿,甲醇为溶剂重结晶反应产物,烘干,得到溴化醋酸二氢睾酮39.4g;反应过程中产生的溴化氢用碳酸钠处理,母液减压浓缩回收大部分甲醇、经多次套用后作为固体废弃物处理,此步骤溴化反应得率为88.9%。
(2)脱溴化氢反应
将步骤(1)所得溴化醋酸二氢睾酮溶解在200mL DMF中,加入含6g NaOH的甲醇溶液(NaOH 6g,甲醇20mL)作为催化剂,于150℃下加入碳酸钙6g脱溴化氢,回收催化剂和部分DMF(约150mL)后加入200mL水水析,离心,烘干,得到醋酸异睾酮;过量碳酸钙用盐酸处理,此步骤脱溴化氢反应的得率为99.6%。
(3)缩酮氧化反应
将步骤(2)所得醋酸异睾酮溶解在200mL苯中,加入7g对甲苯磺酸作为催化剂,并加入乙二醇15mL、次氣酸钙8g于75℃下进行缩酮氧化反应,水汽蒸馏法回收苯,用甲醇重结晶,烘干,得到式(II)所示的缩酮氧化物;母液减压浓缩回收大部分甲醇、经多次套用后作固体废弃物处理,此步骤缩酮氧化收率为88.5%。
(4)格氏反应
镁条10g,加入30mL四氢呋喃(THF)、碘甲烷16g,室温搅拌反应2h,升温回流20min,冷却至室温,得到格氏试剂;将步骤(3)所得缩酮氧化物溶解于150mL苯中,加入30mL格氏试剂于70℃下进行格氏反应,然后加入浓盐酸(质量浓度36.5%)至无沉淀,除去THF,水汽蒸馏法回收苯,甲醇重结晶,烘干,得到美替诺龙粗品;母液减压浓缩回收大部分甲醇、经多次套用后作为固体废弃物处理,此步骤格式反应得率为14%。
(5)乙酰化反应
将步骤(3)所得美替诺龙粗品溶解在120mL吡啶中,加入15g醋酐于28℃下进行乙酰化反应,加入水水析,用丙酮重结晶,烘干,得到美替诺龙醋酸酯;母液减压浓缩回收大部分丙酮、经多次套用后作为固体废弃物处理,此步骤乙酰化反应得率为87.7%。
(6)醇解反应
将步骤(5)所得美替诺龙醋酸酯溶解于150mL甲醇中,加入98%浓硫酸6g作为催化剂,于97℃下进行醇解反应,反应结束后反应液减压浓缩回收大部分甲醇(约120mL),加入100mL水水析,丙酮重结晶,烘干,得到所述美替诺龙;母液减压浓缩回收大部分丙酮、经多次套用后作为固体废弃物处理,此步骤醇解美替诺龙反应收率为95.4%。

应用
专利CN201680021224.8提供一种新型的干眼症治疗药,所述治疗药对干眼症的治疗效果优异,并且从患者的药剂给予负担的观点考虑,在给予药物后,能够在泪腺组织中长期发挥药效。含有诺龙或其酯、美替诺龙或其酯等的干眼症治疗剂通过使泪液中的泪脂质运载蛋白(Tearlipocalin,TL)量增加,从而对干眼症具有治疗效果,另外,通过向眼睑皮肤给予含有诺龙或其酯、美替诺龙或其酯等的干眼症治疗剂,能够在泪腺组织中长期发挥药效[1]。
参考文献
[1]杭州同化化学有限公司. 一种美替诺龙的制备方法:CN200810163429.7[P]. 2009-06-17.
[2]参天制药株式会社. 以诺龙或其酯、美替诺龙或其酯作为有效成分的干眼症治疗剂:CN201680021224.8[P]. 2017-12-01.