背景及概述
头孢曲松钠是第3代头孢菌素类抗生素,具有广谱高效的特性,它对许多革兰氏阳性菌、阴性菌和厌氧菌有杀菌作用,而且对细菌产生的大多数 β-内酰胺酶高度稳定,从而增强了其抗菌作用。

图1 头孢曲松钠性状图
制备工艺
传统的头孢曲松钠的制备方法主要归为两类。
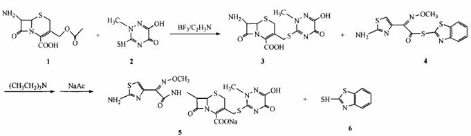
7-氨基头孢烷酸(7-ACA)与2,5-二氢-6-羟基2-甲基-3-巯基-5-氧-1,2,4-三嗪(TTZ)为原料,在三氟化硼/乙腈的催化下,合成7-氨基-3-[(2,5-二氢-6-羟基-2-甲基-5-氧代-1,2,4-三嗪-3-巯基)甲基]-3-头孢-4-羧酸(7-ACT)后,一类是“一锅法”,在多元溶剂体系中,由7-ACT和2-(2-氨基-4-噻唑基)-2-(甲氧亚氨基)乙酸硫代苯并噻唑酯(AE)在胺类中间反应物的作用下进行反应,再加入成盐剂析出晶体,此合成路线得到的产品中2-巯基苯并噻唑(M)含量极度超标,且反应副产物M不能有效分离,回收困难,严重污染环境;
另一类是”分相法”,在多元溶剂体系中,由7-ACT和AE在胺类中间反应物的作用下进行反应,加入合适的M萃取剂,先将M有效地从料液中分离出来,再加入成盐剂析出品体,此合成路线虽然能将M分离,但M是以铵盐溶液的形式存在溶剂相中,仍需再单独回收出固体的M产品,不仅增加生产成本,还会产生大量的废水。而且分相会导致物料损失,在产品收率上处于劣势。
参考文献[1]将溶剂体系改为单一的乙醇体系;将副产物M直接以固体形式分离,达到回收过程中“零排放”;反应料液直接经过无菌过滤结晶得到无菌头孢曲松钠,省去了粗品精制的各种消耗,保证了产品收率和质量。具体合成路线如下图所示:

图2 头孢曲松钠的合成路线图
参考文献
[1]魏青杰,乔俊华,陈建军,等.头孢曲松钠的合成工艺改进.[J]《中国药科大学学报》.2016年2期.