背景技术
聚乙二醇(polyethylene glycol,PEG)是由环氧乙烷与水或乙二醇逐步发生加成聚合而得到的一类分子量较低的水溶性聚醚。小分子量的低聚聚乙二醇为无色、无臭有吸湿性的粘稠液体,分子中既有醚链,又有羟基,故具有独特的溶解性能,能与水、醇混溶,微溶于醚。其中,氨基-PEG8-羧酸是一种具有羧酸和胺官能团的化合物。它是无色至淡黄色的液体,具有较低的挥发性和轻微的气味。该化合物在水中可溶,也能溶于许多有机溶剂。氨基-PEG8-羧酸在化工领域具有多种用途。它常被用作表面活性剂、乳化剂和分散剂,以改善乳液和涂料的稳定性和流动性。它还可用于制备染料、树脂、胶黏剂、油墨等化工产品。

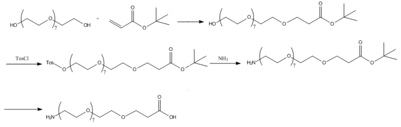
制备方法[1]
(1)将50g八甘醇加入至200ml二氯甲烷中,称取0.09g碎的金属钠加入上述溶液中,并室温搅拌1h。称取13g丙烯酸叔丁酯滴加到上述反应液中,室温搅拌12h。TLC显示反应结束,加20ml水淬灭反应,旋除溶剂二氯甲烷,再加入300ml水,然后用400ml二氯甲烷萃取3次。无水硫酸钠干燥二氯甲烷相,旋干得到约50g粗产物。
(2)将步骤(1)得到的50g粗产物,10g三乙胺加入到150ml二氯甲烷中,搅拌,称取16g对甲苯磺酰氯溶于50ml二氯甲烷,在冰水浴条件下滴加至反应体系中,滴毕,30℃反应12h。TLC显示反应结束,加100ml水洗,分液,无水硫酸钠干燥有机相,旋干,得到约60g磺酰化的粗产物。
(3)将步骤(2)得到的60g磺酰化的粗产物加入到150ml二氯甲烷中,再加入50g氢氧化铵,5g苄基三乙基氯化铵,升温到40°C,搅拌24h。反应结束,旋干,加入3M盐酸,调PH=3,用二氯甲烷100ml,萃洗2次,然后用氢氧化钠溶液调PH=9,再用二氯甲烷150ml萃取3次,无水硫酸钠干燥,旋干,得到30g氨基端的产物。核磁数据如下:1HNMR (400MHz,CDCl3):δ3.736(t,J=6.4Hz,2H),3.662~3.630(m,30H),3.535(t,J=4.8Hz,2H),2.891(t,J=6.8Hz,2H),1.987(s,2H),1.450(s,9H)。
(4)将步骤(3)得到的30g氨基端的产物加入到100ml 2M盐酸中,升温到60℃,搅拌8h。反应结束,调PH中性,然后旋干,抽滤,无水硫酸钠干燥滤液,旋干,得到25g纯品氨基-PEG8-羧酸的产物。核磁数据如下:1HNMR(400MHz,CDCl3):δ3.777(t,J=4.8Hz,2H),3.718~3.614(m,30H),3.161(t,J=4.2Hz,2H),2.430(t,J=5.6Hz,2H)。

参考文献
[1]湖南华腾制药有限公司. 一种氨基聚乙二醇丙酸的制备方法:CN201710557817.2[P]. 2017-10-10.