(R)-(-)-2-甲基哌嗪是一种手性哌嗪衍生物,常温常压下为白色至黄色结晶固体粉末,具有显著的碱性并且可与大部分酸性物质结合成盐。(R)-(-)-2-甲基哌嗪可由L-(+)-酒石酸为拆分剂将消旋的2-甲基哌嗪通过手性拆分而得到,该物质可用作医药合成基础化学试剂,有研究报道它在卡德沙星等氟喹诺酮类药物的合成中有一定的应用。
制备方法

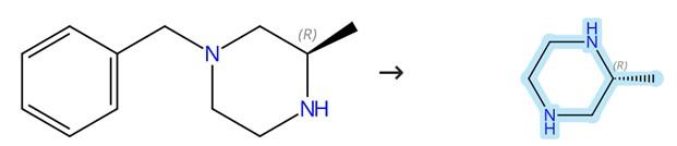
图1 (R)-(-)-2-甲基哌嗪的制备方法
将苄基保护的(R)-(-)-2-甲基哌嗪(9.51 g, 0.05 mol)、10% 钯碳催化剂 (1.2 g) 和乙酸 (0.5 mL) 溶于甲醇 (100 mL) 中,然后将所得的反应混合物在室温及常压氢气氛围下搅拌反应大约24 小时。通过TLC点板监测反应进度,反应结束后滤除催化剂并用甲醇洗涤,合并滤液经浓缩后得到固体粗产物,最后通过乙醚 (100 mL) 重结晶,获得无色针状晶体(R)-(-)-2-甲基哌嗪(3.8 g, 收率 76%)。[1]
取代反应
(R)-(-)-2-甲基哌嗪结构中的哌嗪单元上的氮原子具有显著的亲核性,它可在碱性条件下对缺电子的芳香卤代物等进行芳香亲核取代反应得到相应的芳基化的衍生物。

图2 (R)-(-)-2-甲基哌嗪的芳香亲核取代反应
将4-溴-6-氯哒嗪-3-胺(100 mg, 0.48 mmol)溶于耐热玻璃瓶中的四氢呋喃(1 mL),然后往上述反应混合物体中缓慢地加入(R)-(-)-2-甲基哌嗪(240 mg, 2.4 mmol)。将所得的反应混合物于80℃下搅拌反应过夜,通过TLC点板监测反应进度,反应结束后将粗产物浓缩至干,吸附于硅胶上,通过硅胶柱色谱法(以乙酸乙酯为洗脱剂)进行纯化即可得到目标产物分子。[2]
医药应用
有研究报道(R)-(-)-2-甲基哌嗪可用于药物分子BCL-2抑制剂的合成,BCL-2抑制剂是一类通过改变细胞内关键蛋白质间的相互作用,从而促使癌细胞死亡的药物。
参考文献
[1] Liu, Bo; et al, A Novel and Facile Method to Synthesize (R)- and (S)-2-methylpiperazine, Synthetic Communications 2004, 34, 4111-4118.
[2] Taylor, Alexander M.; et al, GNE-064: A Potent, Selective, and Orally Bioavailable Chemical Probe for the Bromodomains of SMARCA2 and SMARCA4 and the Fifth Bromodomain of PBRM1, Journal of Medicinal Chemistry 2022, 65, 11177-11186.