>网站主页 >> 双(2-氧代-3-恶唑烷基)次磷酰氯 >> 新闻信息汇总

双(2-氧代-3-恶唑烷基)次磷酰氯新闻专题

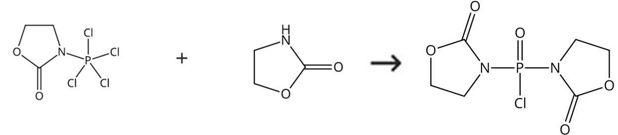
双(2-氧代-3-恶唑烷基)次磷酰氯的酰化反应
双(2-氧代-3-恶唑烷基)次磷酰氯的酰化反应
双(2-氧代-3-恶唑烷基)次磷酰氯是一种次磷酰氯类化合物,在有机合成领域中主要用作多肽偶联的缩合剂和药物分子合成的原料。
2024/8/2 9:30:05 阅读量:510
双(2-氧代-3-恶唑烷基)次磷酰氯的合成与应用
双(2-氧代-3-恶唑烷基)次磷酰氯的合成与应用
双(2-氧代-3-恶唑烷基)次磷酰氯,英文名Bis(2-oxo-3-oxazolidinyl)phosphinic chloride,常温常压下为白色或者灰白色固体粉末,对水较为敏感,遇水容易潮解变质。双(2-氧代-3-恶唑烷基)次磷酰氯属于磷酰氯衍生物,常用作有机合成中间体。
2023/4/12 8:47:44 阅读量:849